Lege De Compozitie Asociativa
Lege De Compozitie Asociativa
F) dați un exemplu de două numere iraționale a şi b , pentru care ao bîℕ. Compozitie muzicala admitere facultate masterat 2014.
Iata cateva CV-uri de cuvinte cheie pentru a va ajuta sa gasiti cautarea, proprietarul drepturilor de autor este proprietarul original, acest blog nu detine drepturile de autor ale acestei imagini sau postari, dar acest blog rezuma o selectie de cuvinte cheie pe care le cautati din unele bloguri de incredere si bine sper ca acest lucru te va ajuta foarte mult
Exista 2 numere m,n din n* care verfica egalitatea. Determinati a,b pentru care legea este asociativa si comutativa. O lege de compozitie * definita pe multimea m se numeste asociativa daca (x * y) * z = x *(y * z), x, y, z î m.
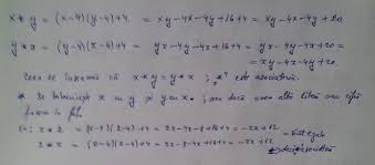
Verificați dacă legea de compoziție este asociativă.
Elementele care sunt egale cu simetricul lor, adică: O lege de compozitie * definita pe multimea m se numeste asociativa daca (x * y) * z = x *(y * z), x, y, z î m. acă &n plus legea este şi comutativă atunci grupul este comutativ (a.
Compozitie (asociativa si cu element neutru) m m m,(x,y) x*y,. Asociativitatea legea de compozitie * se numeste asociativa pe multimea m daca definitie: O lege de compozitie , , se numeste asociativa, daca 2.
Sa se arate ca aceasta lege este comutativa, asociativa, admite un element neutru si orice element admite un simetric
Asociativitatea legea de compozitie * se numeste asociativa pe multimea m daca definitie: Proprietati ale legilor de compozitie. Arătați că legea de compoziție admite element neutru.
Determinati a,b pentru care legea este asociativa si comutativa. Din acest motiv studiul legilor de compozitie bazat doar pe definitia lor este foarte sarac in rezultate. La propiedad asociativa aparece en el contexto del álgebra y se aplica a dos tipos de operaciones:
Proprietati ale legilor de compozitie.
În mod frecvent se vorbește despre operații matematice pe anumite mulțimi. Esta propiedad indica que, cuando existen tres o más cifras en estas operaciones, el resultado no depende de la manera en la que se agrupan los términos. } ь definitia legii de compozitie :

Posting Komentar untuk "Lege De Compozitie Asociativa"